যে বা যারা অর্থায়ন ( Finance) ভালো করে চর্চা করবেন না তারা HSC Final এ ভালো কিছু করতে পারবেন না । এটি কোনো কঠিন subject না কিন্তু চর্চার অভাব থাকলে এই বিষয়ে নিচ্ছিত ফেল করতে পারেন । তাই চেষ্টা করুন প্রতিদিন প্রাকটিস করার জন্য । নিয়োমিত করলে এই বিষয়ে আপনি ৮০% মার্ক পাবেন এতে কোনো ভুল নেই ।
পিডিএফ ফাইল হিসেবে পেতে চাইলে কমেন্টে আপনার ইমেইল আইডি
লিখে কমেন্ট করুন । পেয়ে যাবেন
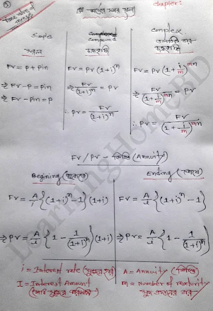
অর্থের সময় মূল্য এই অধ্যায়টি অনেক জটিলতায় ফেলে দেয়। অথচ এই দেখবেন তুলোনামূলক সূত্র কম আছে । আসুন দেখে নেই পরিক্ষার হলে এই অধ্যায়ের অংকে কি কি সমস্যা হয় - ১) আপনার চর্চার অভাব থাকলে আপনি বুঝতেই পারবেন না আপনাকে কি করতে হবে । ২) সবচেয়ে বড় সমস্যা আপনি কোন সূত্র ব্যাবহার করবেন তা সঠিক ভাবে বসানো । তা না হলে অংকটি প্রথম থেকেই ভুল ভাবে শুরু করা হবে । ৩) অংকে বর্তমান মুল্য আছে না ভবিষ্যৎ মুল্য আছে এই নিয়ে আপনি কনফিউশনে পরতে পারেন। ৪) আপনি সবকিছু ঠিক করলেন কিন্তু ক্যালকুলেশনে ভুল হতে পারে । কারন পরিক্ষার হলে টেনশনে এগুলো হয় । অথচ এই অংকটি আপনি বাসাই ৫মিনিটে করে ফেলছেন এখন ১৫ মিনিটেও হচ্ছে না । এই সমস্যাগুলো এড়ানোর উপায় - ১) অংক টা ভালো করে পড়ুন এবং সম্পুর্ন অংকে কি কি উপাদান আছে দেখে নিন । যে উপাদানগুলো দেওয়া আছে রাফ হিসেবে লিখুন যেমন - Fv = *** i= ** n = ** A = ** m = ** pv = ? এখন আপনি দেখলেই বুঝবেন কোন সূত্রটি ব্যাবহার করতে হবে নিজেকে শান্ত রাখবেন কোনো ভুল সিধান্ত নিবেন না । না পারলে ছেরে দিন অন্য অংক করুন ।
মূলধন ব্যয় WACC একটা টেবিল ভালো করে দেখুন । এই টেবিল নির্নয় করতে হলে সকল উৎসের ব্যয় বের করতে হবে । এবং উৎসের ভার (weight) ও বের করতে হবে । সূত্রগুলো নিচে দেখুন পেয়ে যাবেন । উৎসগুলো সম্পর্কে বলি সাধারণ শেয়ার ও সংরক্ষিত আয়ের ব্যয় সবসময় চেষ্টা করবেন সূত্রের উপাদান গুলো খুঁজে বের করার তারপর উপাদান অনুযায়ী সূত্র লিখবেন । মনে করুন অংকে Do = আছে g = নেই Po = আছে Fc = নেই আপনি বুঝে ফেলবেন আপনার কোন সুত্রটি ব্যবহার করতে হবে । লক্ষ্য করুন সাধারণ শেয়ারের ব্যয় ও সংরক্ষিত আয়ের ব্যয় এই দুটি সুত্রের বেশ মিল আছে তাই আপনার বোঝার সুবিধার্থে পাশাপাশি লিখেছি । যাতেকরে আপনার বুঝতে সুবিধা হয় ।

- HSC Accounting 2nd Paper ( অধ্যায়ঃ আর্থিক বিবরণী বিশ্লেষণ, ব্যবস্থাপনা হিসাববিজ্ঞান পরিচিতি )
- HSC Finance first paper অধ্যায়ঃ ঝুঁকি ও আয়ের হার (Risk Free Rate Of Return) - Jhuki O Ayer har Sohoj Somadhan
- HSC Accounting 1st Paper ( রেওয়ামিল সহজ সমাধান ) Reowamil - Trial Balance
- HSC Finance Math Formula For All Chapter - Test Paper Format
- HSC Accounting 1st & 2nd Paper important formula
- HSC Finance first paper - muldhon bay - Simply Solution Of Cost of capital | ফাইনাঞ্চ ১ম পত্র - অধ্যায় : মূলধন ব্যায় ( সহজ সমাধান )
- HSC Accounting 2nd Paper - Ongshidari hisab - Partnership Account
- HSC Result 2019 | HSC Result 2019 Simply Search your result
- HSC হিসাববিজ্ঞান - অধ্যায় : ব্যবস্থাপনা হিসাববিজ্ঞান পরিচিতি | সহজ সমাধান ও সৃজনশীল অংক
- HSC Accounting - VAT Calculation
- HSC Accounting - দৃশ্যমান ও অদৃশ্যমান সম্পদ ( সহজ সমাধান )
- HSC Accounting 2nd paper easy technique of Cash Flow Statement
- HSC Accounting 1st Paper Solution - Chapter - 08 - Tangible and Intangible assets | Full Solution In One Math | Shortcut Basis And Advance Solution Of Full Chapter
- HSC Finance Math Formulla For All Chapter
- HSC Accounting 2nd paper - Ongshedari hisab ( chapter - partnership )
- HSC Finance first paper ( Lesson - Dirghomeyadi Orthaion )
- HSC Accounting 2nd paper easy technique of salary statement
- HSC finance first paper math permanent solution and crack
Pdf please
ReplyDeletesajjadbappy70@gmail.com
ReplyDeletemahmud.rayhan.ju@gmail.com
ReplyDeletepdf please
PDF please
ReplyDelete
ReplyDeletemdjahidhasanjh90@gmail.com
Sir pdf lagbe